Hier erhalten Sie Einsicht in unsere Projekte, die sich mit klassischen messtechnischen Aufgaben, Sensorik und mathematische Betrachtungen befassen.
GPS-Positionsgenauigkeit bei „Push-to-Fix“
Beschreibung
Bilder
Empirische Analyse der erreichbaren GPS-Positionsgenauigkeit (CarFinder, siehe
Mikrowellentechnik)
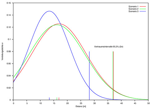
Die Entwicklung des CarFinders hatte ein Gerät zum Ziel, mit dem ein Nutzer sein abgestelltes Fahrzeug einfach wiederfinden kann. Hierfür wurde ein Konzept entwickelt, das auf der Nutzung von Satellitennavigation (GPS) basiert und dem Nutzer die Richtung und Entfernung zum Fahrzeug anzeigt. Beim Verlassen des Fahrzeugs steht im Anwendungs-szenario nur ein sehr kurzer Zeitraum zur Positionsbestimmung zur Verfügung („Push-to-Fix“).
Bei der Positionsbestimmung durch GPS wird das Ergebnis durch statistische (zufällige) und
deterministische (systemabhängige) Fehler beeinflusst. Die erreichbare Genauigkeit ist deshalb gegenüber Positionsbestimmungen, die über einen längeren Zeitraum Positions-daten mitteln können, deutlich geringer.
Kurzinfo:
• Erreichbare Positionsgenauigkeit mit einzelnem GPS-Empfänger
• Erreichbare Positionsgenauigkeit mit einem stationären und einem mobilen GPS-Empfänger
• Erreichbare Positionsgenauigkeit mit zwei mobilen GPS-Empfängern
Zeitlicher Verlauf Pseudodistanz
Verteilungsdichtefunktion
Abweichungskarte
Digitaler Rauschgenerator
Beschreibung
Rauschgenerator zum Test von digitalen Filtern
Zum Test von digitalen Filtern wird ein digitales Rauschsignal benötigt, sprich zufällige Zahlenwerte. Softwarebasierte Generatoren erzeugen hier nur ein Pseudo-Rauschen, da sich die Zahlenfolgen irgendwann wiederholen. Der digitale Rauschgenerator erzeugt ein echtes Rauschen, also Zufallszahlen, die sich nicht wiederholen. Gewonnen werden sie aus einer analogen Rauschquelle.
Kurzinfo:
• Echtes Rauschsignal, kein Pseudo-Rauschen
• Zufallszahlen stehen als digitaler Datenstrom an serieller Schnittstelle zur Verfügung
Zeiterfassungssystem
Beschreibung
Zeiterfassungssystem für Laborexperimente
Das entwickelte Zeiterfassungssystem für Laborexperimente erfasst parallel 30 Messstellen. Die Messdaten werden für die spätere statistische Auswertung gespeichert. Ein entsprechendes Zeiterfassungsgerät für die gewünschten Versuche war so am Markt nicht verfügbar.
Kurzinfo:
• Parallele Erfassung von 30 Messstellen
• Speicherung der Messdaten
Sensorelektronik zur Strahlbildauswertung
Beschreibung
Strahlbildauswertung von Einspritzdüsen für Otto- und Dieselmotoren
Um das Strahlbild von Einspritzdüsen auswerten zu können, lässt man diese über einer Matrix mit Kavitäten Kraftstoff abspritzen und bestimmt danach den Füllstand der Kavitäten. Das von uns entwickelte kapazitive Messverfahren bestimmt den Füllstand der Kavitäten mit einer hohen Genauigkeit und einer hohen Messgeschwindigkeit.
Kurzinfo:
• Kapazitives Messverfahren zur Bestimmung der Kraftstoff-Verteilung durch die
Einspritzdüse
• Hohe Genauigkeit
• Hohe Messgeschwindigkeit
Klimamessgerät
Beschreibung
Bestimmung von Luftdruck, Lufttemperatur und relativer Luftfeuchte in Messnetzen
Das Klimamessgerät erfasst die Umweltparameter Luftdruck, Lufttemperatur und relative Luftfeuchte. Das Gerät wurde in einem speziellen, wetterfesten Gehäuse untergebracht und kann mit anderen Messstationen via Telefonleitung vernetzt werden.
Kurzinfo:
• Messung des Luftdrucks
• Messung der Lufttemperatur
• Messung der relativen Luftfeuchte
• Wetterfestes Gehäuse
Kapazitiver Sensor zur Positionsbestimmung
Beschreibung
Positionsbestimmung von Fadenprojektilen in Webmaschinen
Um die Eindringtiefe von Fadenprojektilen in den Auffang- und Abbremsmechanismus in
Webmaschinen zu bestimmen, wurde ein kapazitiv arbeitender Sensor entwickelt. Dieser kann Fadenprojektile aus Karbon sicher detektieren.
Kurzinfo:
• Positionsbestimmung von Fadenprojektilen aus Karbon
• Integration in ein kundenspezifisches Gehäuse
Präzisionsthermometer
Beschreibung
Präzisionsthermometer für Außentemperaturmessung
Zur präzisen Messung der Außentemperatur wurde ein elektronisches Thermometer mit hoher Genauigkeit entwickelt und in einem wetterfesten Gehäuse untergebracht.
Kurzinfo:
• Präzise Außentemperaturmessung
• Robustes Gehäuse für raue Umweltbedingungen
IFN Ingenieurbüro für Nachrichtentechnik Inh. Helmut Brandl
Blarerstraße 56 | 78462 Konstanz | Tel.: +49 7531 91250 | Fax: +49 7531 91252 | info@ifn-brandl.de
Bürozeiten:
Montag bis Freitag 9:00 - 18:00